トップページ >PID制御のお話 第10回

2004年11月号

PID制御のお話

第10回  実用形態に向けての工夫(その2)

ワイド制御技術研究所 所長 広 井 和 男 

 前回、1次遅れフィルタを全PID演算の入力に、あるいは微分演算だけの入力に入れて、制御量に含まれている高周波成分を抑制して、実用形態にする工夫について説明しました。今回はその効果などを探ってみましょう。

1.完全微分と不完全微分の比較
 大きさa のステップ入力を与えたときの、完全微分と不完全微分の出力応答の比較を図1に示します。この図から、不完全微分は完全微分に比較して、次に挙げる2つの大きな特徴をもっていることを読み取ることができます。
 (1) 微分ゲインが1/ηとなり、入力に対する出力の上限を有限値として設定できます(ここに、η=T(一次遅れフィルタの時定数)/TD(微分時間)であり、ηの値は通常0.1~0.125で、微分ゲイン1/ηは 10~8 となる)。
 (2) 入力のステップ状変化に対して、微分面積が生じて操作端を実際に動かすことができるため、微分動作が有効に働きます。
 このように、不完全微分は実用上すぐれた特性をもっており、実際に多用されているにもかかわらず、日本語呼称では微分の前に「不完全」という言葉が付加されているため、しばしば誤解されてしまいます。「完全微分があるのに、なぜわざわざ不完全微分を使用するのか?」という質問を受けることがよくあります。このような誤解を避けるために、「不完全微分」のことを「実用微分」と呼んだ方が実態に合うと考えますが、皆さんのご意見はいかがでしょうか?

2.PIDパラメータ値の変換
 制御システムをリプレースするときなどに、制御方式を実用・干渉形PID制御から実用・非干渉形PID制御に変更する場合、またはその逆の場合に、PIDパラメータ値をどのように設定すればよいかを考えてみましょう。図2に示すように、微分としては、実用上不完全微分を使用します。しかし、PIDパラメータ値の相互置換式を求める場合は理想PID制御式で検討すればよく、微分としては完全微分式を用います。実用形は理想形に一次遅れフィルタを入れて、過渡特性のみを修正したもので、定常特性を決めるPIDパラメータ値は2つの形式で差異はありません1)
 現用の制御方式である干渉形PIDの伝達関数Cs )は(1)式で表されます。

 置き換える新しい非干渉形PIDの伝達関数C '(s)を(2)式で表します。

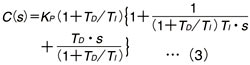
 ここで(1)式を変形して、(3)式を得ます。

 (2)式と(3)式から、干渉形PIDから非干渉PIDへの変換式は(4)式になります。

 (4)式から次のことがいえます。
 (1)TD=0 のとき:変換は不要で、そのまま設定すればよい。
 (2)TD≠0 のとき:変換が必要〔(4)式による〕
 以上の結果をまとめて、実際のPIDパラメータ値の変換法を図2に示します。

3.偏差ステップ変化に対する応答比較
 以上説明したように、理想PID制御に高周波成分を抑制する1次遅れフィルタを付加することによって、実用・干渉形PID制御と実用・非干渉形PID制御の2種類の実用形態が生まれました。一般的に、後者の方が多用されているので、今後は図2(b)に示す実用・非干渉形PID制御をベースとして説明します。
 これまで説明してきたように、制御動作にはP(比例)動作、I(積分)動作およびD(微分)動作という3つの機能があり、これらを加算合成した動作をPID動作といいます。また、PID動作に基づく制御方式をPID制御と呼んでいます。
 ここで、偏差がステップ状に変化したとき、理想PID制御と実用PID制御の操作出力がそれぞれどのような応答を示し、どこが異なるか明確にしておきます。
 図3(a)に、ステップ偏差e 0を与えた場合の理想PID制御における出力の応答を示します。理想PID制御出力は、P動作出力とI動作出力と完全微分動作出力とを加算合成したものとなっています。一方、図3(b)には、ステップ偏差e 0を与えた場合の実用・非干渉形PID制御における出力を示します。実用・非干渉形PID制御出力は、P動作出力とI動作出力と不完全微分動作出力とを加算合成したものとなっています。この両者の応答を比較すると、P動作とI動作の出力はまったく同一であるが、D動作出力について完全微分か、不完全微分かの相違があります。完全微分の場合には、図3(a)に示すように入力ステップ状変化時の微分出力が線状になり、調節弁などの操作端にエネルギーを与えることができないため、操作端を動かすことができず、微分機能を発揮できません。不完全微分の場合には、図3(b)に示すように入力ステップ状変化時の微分出力が面積をもつので、操作端にエネルギーを与えることができて操作端が応動し、微分機能を発揮させることができます。さらに完全微分のステップ応答出力の大きさは無限大となり、高周波成分を過度に増幅して制御系を不安定にしてしまいます。これに対して、不完全微分のステップ応答出力の最高値はKP e 0/η(η=0.1~0.125)という有限値に抑制されるため、高周波ノイズを含む入力に対する安定性が大きく改善されることになります。
 これらの2つの改善点、すなわち微分機能を発揮できることと高周波ノイズを含む入力に対する安定性の改善が、この実用形態で採用している工夫の大きな効果です。■

◆ 参考文献 ◆
1)宮崎 誠一:「ディジタル制御系の設計と改善」、p. 41、工業技術社(1989)

 
 

前回へ 次回へ

*. 本ウェブサイト上に掲載されている情報は、掲載した時点での情報です。記載内容はお断りなしに変更することがありますのでご了承ください。

*. 本ウェブサイト上の表示価格には消費税は含まれておりません。ご注文の際には消費税を別途頂戴いたします。

MG 株式会社エムジー

Copyright © 1992 MG Co., Ltd. All rights reserved.